第一部分:經濟基礎知識
(本部分共65分)
一、單項選擇題
1.B 2.C 3.B 4.D 5.C 6.D 7.A 8.C 9.D 10.C
11.B 12.A 13.D 14.C 15.A 16.A 17.B 18.A 19.D 20.D
二、多項選擇題
1.ABCD 2.ABCD 3.ABD 4.CD 5.ABD 6.BC 7.BD 8.ACD 9.BD 10.BC
三、計算題(共5小題。每小題5分,共25分)
1.借:營業(yè)稅金及附加 104 600
貸:應交稅費──應交營業(yè)稅 100 000
──應交城市維護建設稅 3 220
──應交教育費附加 1 380

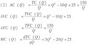
4.(1)可變成本部分:TVC(Q)=Q3-10Q2+25Q;不變成本部分:TFC(Q)=150

5.(1)均衡收入:解方程組:

得:y=680
政府預算盈余BS=ty-g-tr,得BS=60
(2)解方程組:

得:y=730
政府預算盈余BS=ty-g-tr,得曰BS=72.5,政府預算盈余增加12.5.
第二部分:時事、常識與邏輯部分
(本部分共25分)
一、時事政治題
1.A 2.CD 3.B 4.B 5.A
二、常識題
1.B 2.B 3.C 4.C 5.B 6.D 7.C 8.D 9.B 10.A
三、邏輯推理題
1.D 2.D 3.C 4.D 5.E
第三部分:法律部分
(本部分共10分)
1.在法律上宣告一個人死亡的程序是什么?(2分)
答:失蹤+法定期間+申請人提出申請+法院公告期間(下落不明的為1年,意外事故的為3個月)=法院作出判決。
2.在法律上宣告一個人死亡的后果是什么?(2分)
答:后果是繼承開始,婚姻關系消滅,債權債務清償,子女被收養(yǎng)等。
注:答對兩項即可,或者回答宣告死亡的后果與正常死亡的后果相同。
3.賀梅與劉鐵柱的婚姻效力如何?(2分)
答:他們之間的婚姻無效。
4.如何評判賀梅和劉鐵柱結婚的行為?為什么?(4分)
答:賀梅犯了重婚罪。(1分)因為賀梅編造虛假事實和理由,惡意申請致使張強被宣告死亡。在得知張強回國后并尋找自己的情況下,不顧其與張強的婚姻關系仍然存在的客觀事實,在離婚應訴期間又與他人結婚,其行為已構成重婚罪。(3分)
第四部分:材料分析題
(共20分)
答案:略。
答題要求:要求觀點正確,論述充分,有效利用上述材料,并從自己所學專業(yè)的角度講行分析論述。


