2021年全軍面向社會公開招考文職人員網(wǎng)上報名有關(guān)情況
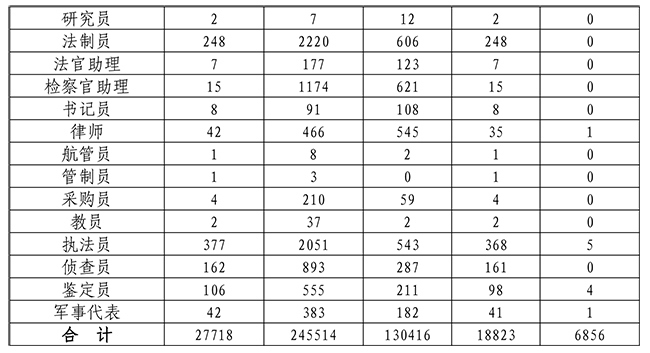
2021年全軍面向社會公開招考文職人員(不含先面試后筆試崗位)網(wǎng)上報名于4月7日8時正式開通。截至4月12日17時,有375930人報考,其中245514名報考人員通過網(wǎng)上報名資格條件初審,平均報招考比為13:1,最高報招考比為901:1。有人報考的崗位20862個,暫時無人報考的崗位6856個。請廣大報考人員理性選擇報考崗位,抓緊時間提交審核,并及時關(guān)注審核結(jié)果。相關(guān)崗位報考情況如下:
1.截至4月12日17時各省份崗位報考情況統(tǒng)計表

2.截至4月12日17時各崗位類別報考情況統(tǒng)計表

3.截至4月12日17時熱門崗位報考情況統(tǒng)計表

4.截至4月12日17時無人報考的崗位信息表
點擊下載:截至4月12日17時無人報考的崗位信息表
來源:http://81rc.81.cn/news/2021-04/12/content_10020592.htm


